Đề thi thử THPT Quốc gia 2021 môn Toán tỉnh Thái Nguyên lần 2
Đề thi thử THPT Quốc gia 2021 môn Toán tỉnh Thái Nguyên lần 2 (có đáp án) dựa theo chuẩn cấu trúc của Bộ GD&ĐT. Xem và tải ngay file đề thi miễn phí –dethithuaz.com
Cùng Đọc tài liệu tham khảo ngay một mẫu đề thi thử THPT Quốc gia 2021 môn Toán mới nhất của Sở GD&ĐT tỉnh Thái Nguyên lần 2.
Hãy thử sức ngay với đề thi thử THPT Quốc gia 2021 này và đối chiếu với phần đáp án bên dưới
(Tải ngay file đề thi theo link bên dưới)
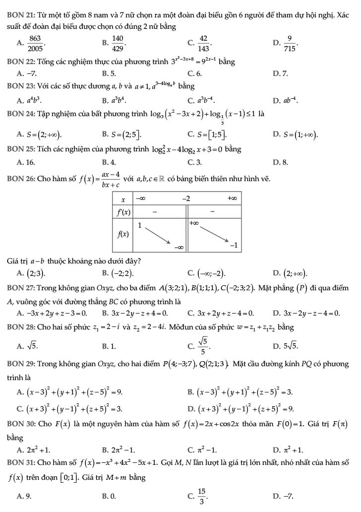
Đề thi thử THPT Quốc gia 2021 môn Toán tỉnh Thái Nguyên lần 2






Đáp án đề thi thử THPT Quốc gia 2021 môn Toán tỉnh Thái Nguyên lần 2
| Câu | Đ/a | Câu | Đ/a | Câu | Đ/a | Câu | Đ/a | Câu | Đ/a |
|---|---|---|---|---|---|---|---|---|---|
| 1 | B | 11 | A | 21 | C | 31 | B | 41 | C |
| 2 | C | 12 | D | 22 | D | 32 | C | 42 | B |
| 3 | D | 13 | B | 23 | C | 33 | C | 43 | C |
| 4 | D | 14 | C | 24 | B | 34 | D | 44 | B |
| 5 | A | 15 | B | 25 | A | 35 | A | 45 | B |
| 6 | A | 16 | C | 26 | B | 36 | C | 46 | B |
| 7 | A | 17 | D | 27 | D | 37 | B | 47 | B |
| 8 | D | 18 | C | 28 | D | 38 | D | 48 | A |
| 9 | B | 19 | B | 29 | A | 39 | B | 49 | C |
| 10 | B | 20 | D | 30 | D | 40 | A | 50 | D |
Mong rằng với mẫu đề thi thử THPT Quốc gia 2021 môn Toán tỉnh Thái Nguyên trên đây sẽ giúp các em ôn tập lại các kiến thức đã học, đánh giá năng lực làm bài của mình và chuẩn bị cho kì kiểm tra THPT sắp tới được tốt hơn. Đừng quên tham khảo thêm rất nhiều đề thi thử môn toán 2021 của các tỉnh thành khác đã được cập nhật liên tục tại Đề thi thử.
–> Link tải tài liệu PDF (DOWNLOAD)
