Đề thi thử THPT Quốc gia 2021 môn Toán tỉnh Hà Tĩnh lần 2
Đề thi thử THPT Quốc gia 2021 môn Toán tỉnh Hà Tĩnh lần 2 có đáp án chi tiết giúp các em luyện giải đề chuẩn bị cho kỳ thi sắp tới. Tải file word ngay
Tỉnh Hà Tĩnh mới đây đã tổ chức kỳ thi thử THPT Quốc gia 2021 môn Toán lần 2 với hình thức thi online dành cho học sinh lớp 12. Đề thi với dạng câu hỏi quen thuộc, bám sát theo cấu trúc đề minh họa của Bộ GD&ĐT.
Hãy thử sức ngay với đề thi thử THPT Quốc gia 2021 này:
(Tải file đề thi và đáp án theo link đính kèm bên dưới)
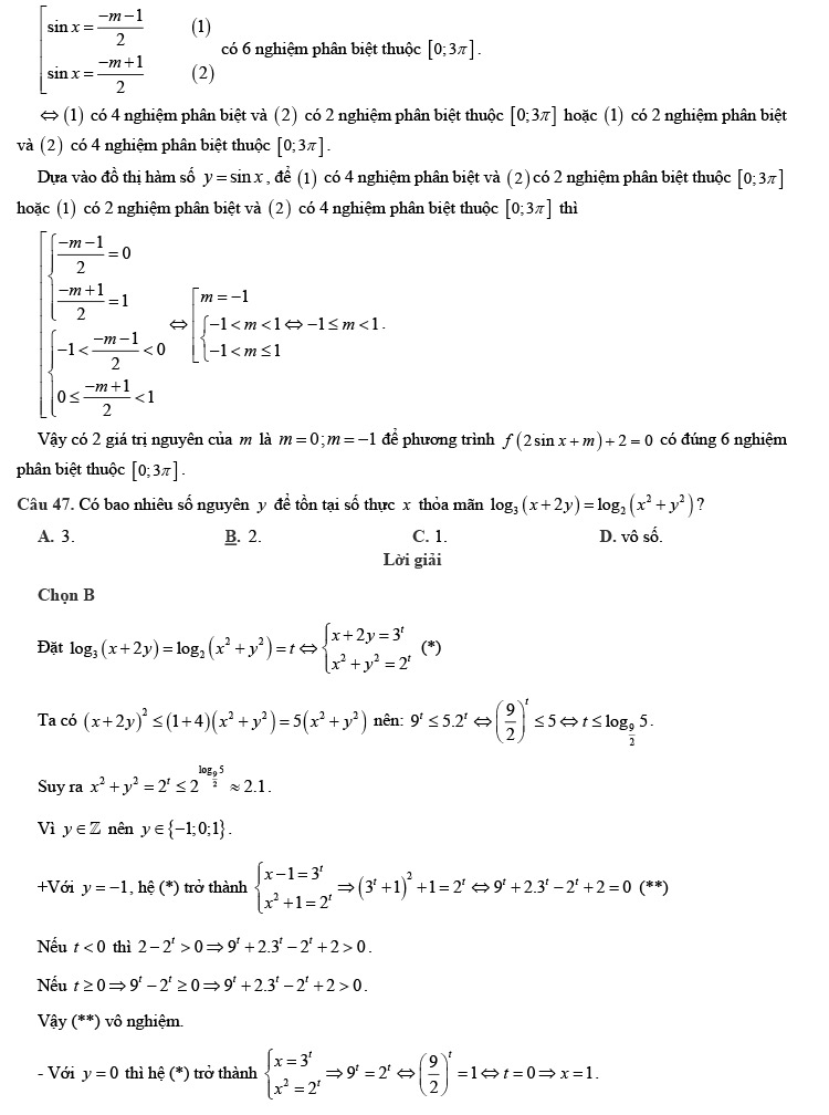
ĐỀ THI THỬ THPT QUỐC GIA 2021 MÔN TOÁN TỈNH HÀ TĨNH LẦN 2
















Xem thêm nhiều đề thi thử THPT Quốc gia, đề thi thử THPT Quốc gia 2021 môn Toán của các tỉnh khác trên cả nước đã được Đề Thi Thửcập nhật liên tục để ôn tập, chuẩn bị thật tốt cho kỳ thi sắp tới.
–> Link tải tải liệu DOC (DOWNLOAD)
–> Link tải tài liệu PDF (DOWNLOAD)