Đề thi thử môn Toán THPTQG năm 2019 của trường THPT chuyên Phan Bội Châu tỉnh Nghệ An lần 4
Chi tiết đề thi thử môn Toán THPTQG năm 2019 của trường THPT chuyên Phan Bội Châu tỉnh Nghệ An lần 4 – mã đề 209
Đề thi thử THPTQG môn Toán 2019 – Nhằm giúp các em ôn luyện cho kì thi THPT Quốc gia sắp tới tốt nhất, Đề thi thử gửi tới các em đề thi thử THPTQG môn Toán do trường THPT chuyên Phan Bội Châu ra đề – đây là lần thi thứ thử thứ 4 của trường.
Có thể nói trường chuyên Phan Bội Châu là một trong những trường ra đề thi khá sát với đề chuẩn của Bộ GD&ĐT vì vậy các em hãy nghiên cứu kĩ nhé:
Cùng xem chi tiết đề thi dưới đây em nhé:
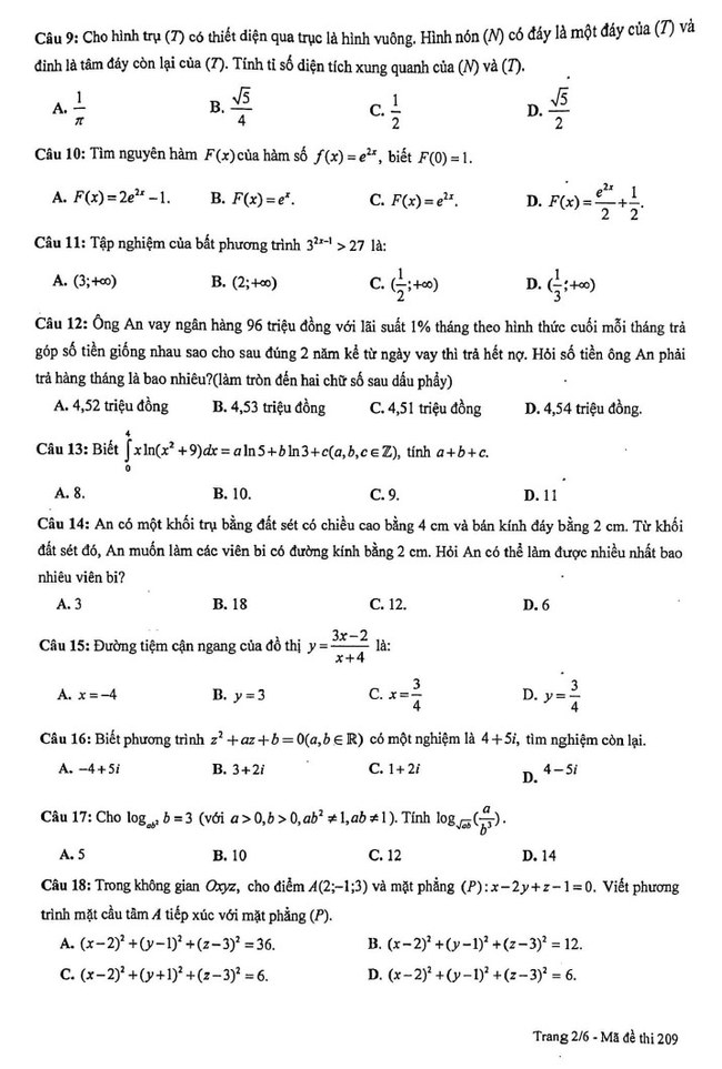
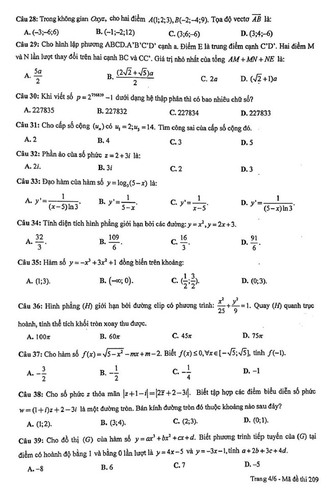
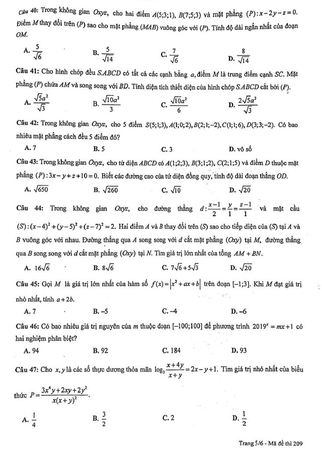
ĐỀ THI THỬ THPTQG 2019 MÔN TOÁN TRƯỜNG CHUYÊN PHAN BỘI CHÂU LẦN 4






Trên đây là đề thi thử THPTQG môn Toán trường THPT chuyên Phan Bội Châu tỉnh Nghệ An lần 4 mã đề 209, mong rằng đây là tài liệu ôn luyện thật tốt môn toán trong kì thi sắp tới em nhé!
Đừng quên tham khảo trọn bộ kho đề thi thử tổng hợp!
Đáp án sẽ được chúng tôi cập nhật khi hoàn thiện!
