Bài tập hàm số mũ và logarit – Toán lớp 12
Bài tập hàm số mũ và logarit – Toán lớp 12 – Bài tập hàm số mũ và logarit bao gồm một số dạng bài tập cơ bản về hàm số mũ và logarit thuộc chương trình Toán lớp 12. Hi vọng đây sẽ là tai liệu học tập hay giúp các bạn ôn tập và củng cố lại kiến thức, tự luyện tập trên lớp cũng như ở nhà nhằm học tốt môn Toán 12, ôn thi THPT Quốc gia môn Toán hiệu quả.
Bài tập hàm số mũ và logarit – Toán lớp 12
BÀI TẬP HÀM SỐ MŨ
Hàm số mũ có dạng y = ax (0 < a ≠ 1)
Tập XÁC ĐỊNH: D = R
Đạo hàm y’ = axln a
- Nếu a > 1 thì hàm số đồng biến trên R
- Nếu 0 < a < 1 thì hàm số nghịch biến trên R
![]()
Giới Hạn: nếu a > 1 và nếu 0 < a < 1.
→ Trục Ox (y = 0) là tiệm cận ngang.
Giá trị đặc biệt: x = 0 → y = 1; x = 1 → y = a
y = ax luôn dương với mọi x
Công thức cơ bản hàm số mũ: ![]()
Các công thức cùng cơ số: ![]()
Các công thức khác cơ số: ![]()
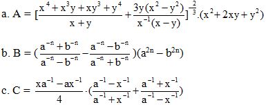
Bài tập 1: Đơn giản biểu thức (giả thiết tất cả đều có nghĩa)

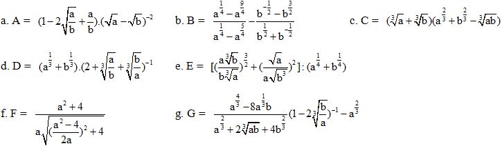
Bài tập 2: Cho a, b là hai số dương. Rút gọn các biểu thức

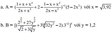
Bài tập 3: Tính giá trị biểu thức

Bài tập 4: Rút gọn biểu thức
![]()
Bài tập 5: Chứng minh ![]()

